Var ska kopplingen ske ?

Kan jag ställa upp utrryvk dom (80-x) eller x(180-x) ?
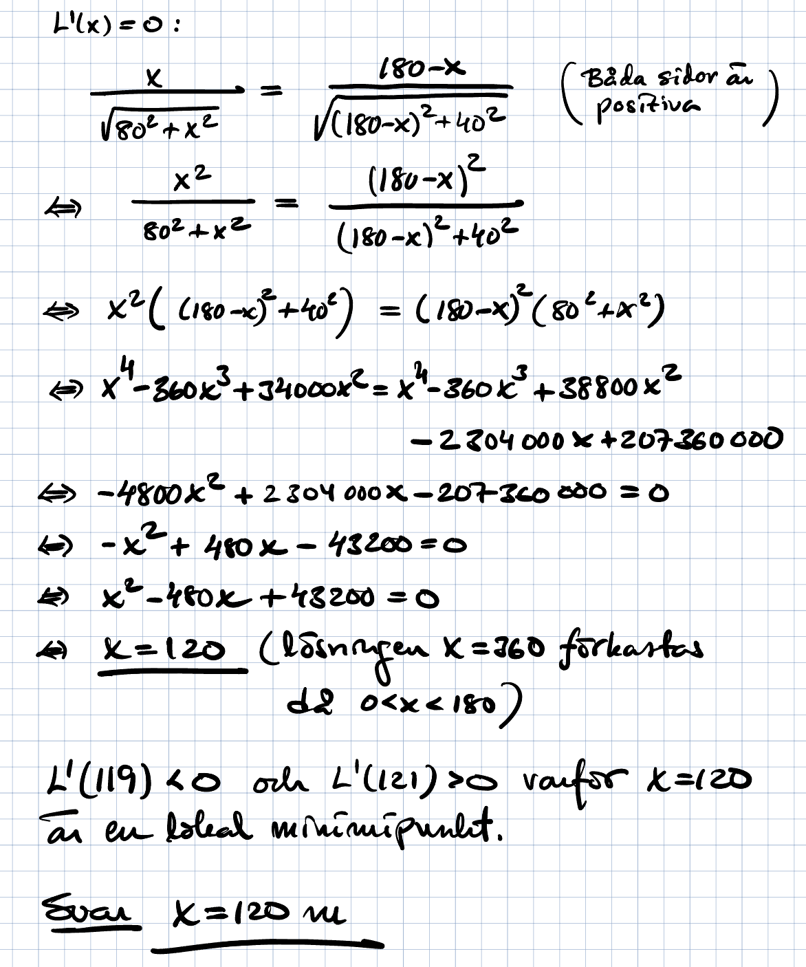
Teckna uttryck för hypotenusornas längder med hjälp av Pythagoras sats. Uttrycket för kabelns längd ges då av summan av dessa två uttryck. Det är detta uttryck du vill minimera.
Här måste man nog anta att man skall använda räknare? Den blir rätt rörig om man skall räkna med penna.

Inte speciellt roliga räkningar.
Ett trick är att spegla A i x-axeln. Kalla den punkten A'. Då får man minsta längden om man drar en rät linje från A' till B.
Laguna skrev:Ett trick är att spegla A i x-axeln. Kalla den punkten A'. Då får man minsta längden om man drar en rät linje från A' till B.
Men är det trick eller metodisk matematik vi övar i detta bokkapitel? Rubriken 'Derivata' ger en indikation, IMO.
Om inte annat kan man kontrollera svaret.
Vi kan även, som 'trick', skala ner allt med faktorn 20, och få bekvämare siffror, om man nu inte glömmer att skala upp svaret igen.

Däremot funkar ej det klassiska tricket med att bestämma min för den 'kvadratiska längden" i denna uppgift.