Värdemängd
Om man har en icke-kontinuerlig funktion och ska skriva värdemängden på den hur skriver man den.
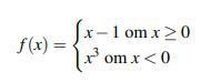
funktionen är

detta visar att funktionen är inte kontinuerlig
Du är på rätt väg.
Vilka värden kan f(x) inte ha?
LennartL skrev:Du är på rätt väg.
Vilka värden kan f(x) inte ha?
noll, eller?
Rätt, noll finns inte med.
Hur är det med intervallet mellan noll och -1?
LennartL skrev:Rätt, noll finns inte med.
Hur är det med intervallet mellan noll och -1?
hoppet sker mellan 0 och -1 i y-led, alltså kan y inte vara något mellan 0 eller -1?
Du har fattat galoppen.
Formulera nu värdemängden matematiskt oc var noga med om gränspunkter skall tillhöra mängden eller ej.
LennartL skrev:Du har fattat galoppen.
Formulera nu värdemängden matematiskt oc var noga med om gränspunkter skall tillhöra mängden eller ej.
Vet inte riktigt hur jag ska formulera det på ett matematiskt sätt men är värdemängden eller har jag fel?
X-1 och 0<x
tycker jag är enklare.
Värdemängd. Om x = 1 så är f(x) = 0.
Du har rätt, det är jag som har slarvat.
Men nu har du ju förstått principen och det är ju det viktigaste.
Håller med Laguna! Vilka värden kan f(x) inte anta!?