Varför är det Falskt i svaret borde det inte vara tvärtom?



Ni ser att det kan bli större än 0,5, varför är svaret falskt då?
Fågan var om det kan vara större än 0,5*n inte 0,5
Kan du vara snäll och förklara vad skillnaden är mellan de 2 och hur man isåfall räknar det också?
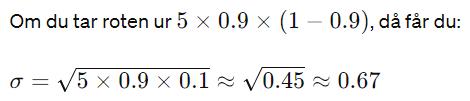
Du har gjort helt rätt med standardavvikelsen för ditt valda n=5 det är värdet du ska jämföra med som är fel:
"... kan vara större än 0,5*n" alltså i ditt exempel större än 0,5*5 = 2,5
Tydligen så är svaret falskt, det kan inte vara större än 0.5n
Exakt. Svaret är att påståendet är falskt. Men det ska väl bevisas ?
Ja men det vet jag inte, jag frågar därför om du vet. Tydligen kan det inte bli över 0.5n och varför är min fråga då?
Tråden flyttad från kategori "Ekonomi" till kategori "Matematik"
/moderator