2
svar
109
visningar
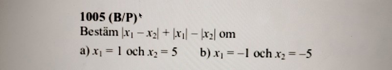
Varför är det minustecken mellan x1 och x2? Vad betyder strecken mellan talen?

Varför det är mimus kan vi inte svara på, det beror ju på uppgiften. |x| betyder absolutbeloppet av x.
Kan man tolka som en geometrisk bas, eller med andra ord, distansen mellan två punkter.
Hej och välkommen till Pluggakuten!
Läs om begreppet absolutbelopp här