Varför är inte kraftimpulslagen inte exakt?
Hej,
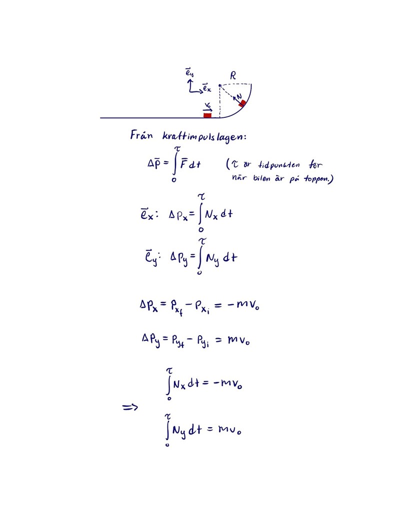
Vår föreläsare gick i genom följande exempel på kraftimpulslagen under en föreläsning:
Antag att vi har en bil med massan m som kör med en konstant fart v längs en kvartsformad cirkel med radien R. Anta också att ingen gravitation påverkar bilen.
Vi vill nu bestämma ett tidsmedelvärde av normalkraften på bilen.
Från kraftimpulslagen får vi:


Anta nu istället att vi formulerar kraftekvationen i naturliga komponenter. Då får vi att . Det värde på N är alltså konstant och har därför samma tidsmedelvärde.
Varför skiljer sig tidsmedelvärdena? Var har vi gjort en approximation när vi använde kraftimpulslagen?
Ingenstans. Du jämför x- och y-komponenterna med summan, så en faktor roten ur två kommer ju in..
Tänk på att denna centripetalkraft har konstant storlek men inte konstant riktning i ett rektangulärt koordinatsystem. Uppgiften handlar om att formulera ett medelvärde i x- och y-koordinater:
Medelvärdet i polära koordinater är trivialt då den är konstant.
Märkligt att kalla det normalkraft förövrigt. Borde vara friktionskraft från marken på hjulen om den svänger i en kurva. Det är nämligen endast då det är rimligt att bortse från gravitationskraften.
Hm, jag förstår inte riktigt? Borde inte storleken på normalkraften vara den samma oavsett kordinatsystem?
Ja, och det är den men det är nonsens att fråga om medelvärdet i polära koordinater (eller naturliga) därför att ingående vektorer byter riktning över tid. Du kan hantera det matematiskt och få samma svar men enklast är att räkna i rektangulära "globala" koordinater.