Varför är inte radien samma?
Hej! Hur kommer det sig att när facit har ställt upp ekvationen för intensiteten så är radien i nämnaren hos solen ej är densamma som radien i täljaren hos solen? I täljaren så har man använt sig av radien solen har i formelsamlingen men i nämnaren så har man haft i åtanke att panelen befinner sig 25 ljusminuter från solen. Men jag fattar inte hur detta kommer sig. Jag är tacksam över det minsta hjälpen jag kan få! 

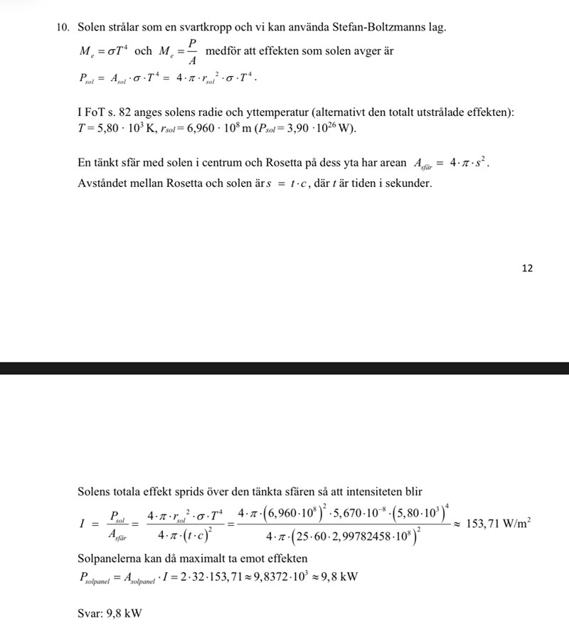
Kan du rita en bild där man ser solen (och solens radie/diameter) och rymdsonden Rosetta? Vilket är avståndet från Solens medelpunkt till Rosetta?
Vad är det för radie man använder i Stefan-Boltzmanns lag?
Vad är det för radie när man beräknar hur stor area solens strålning fördelas över?
Tack!! Nu blev det betydligt tydligare hur det kommer sig!