Varför är m-värdet detsamma för L1 och L2?
Hej!
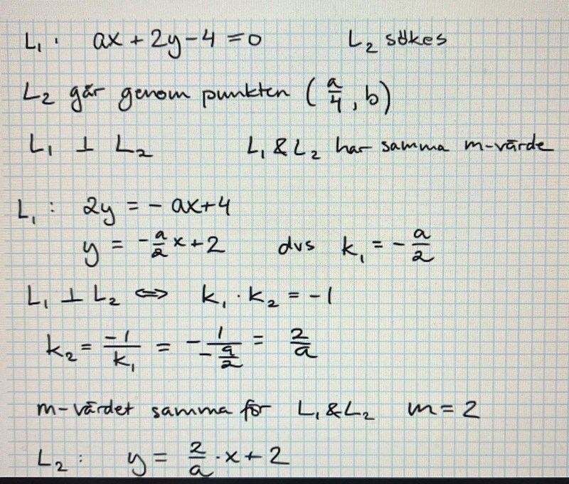
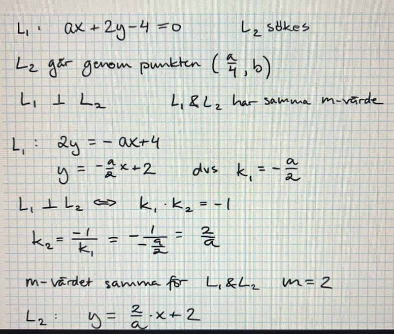
Jag håller på med denna fråga som du kan se nedan. Nedan kan du även se ett lösningsförslag. Jag undrar hur man vet att L1 och L2 har samma m-värdet? I lösningsförslaget så står det att båda linjerna har m värdet 2 och hur kom hen fram till det utan att göra några beräkningar för att få fram m?
Tusen tack på förhand!



Du har gjort beräkningar och fått fram att L1 är y = (-a/2)*x + 2, alltså k = -a/2 och m=2
Vi ska räkna fram b så att m-värdena blir lika för bägge linjerna, alltså så att L2 är y = k*x + 2
...och k-värdet för linjen L2 har du korrekt fått fram till 2/a
Jo det har jag förstått, men jag bara undrar ifall man måste bevisa att m-värdet för L2 är 2? Eller kan man bara anta det i sin beräkning? Och varför behöver man ens räkna ut K2? Skulle man bara inte kunna sätta in x = a/4 i denna ekvation b = -a/2*x + 2 från början och få fram vad b är?
karisma skrev:Jo det har jag förstått, men jag bara undrar ifall man måste bevisa att m-värdet för L2 är 2? Eller kan man bara anta det i sin beräkning?
Nej, det är ju givet i uppgiften. "så att linjerna får samma m-värde" och du har räknat ut m-värdet för L1.
Och varför behöver man ens räkna ut K2?
Skulle man bara inte kunna sätta in x = a/4 i denna ekvation b = -a/2*x + 2 från början och få fram vad b är?
Nej, nu blandar du en y-koordinat från linje L2 med k-värdet från linje L1
Bubo skrev:
Och varför behöver man ens räkna ut K2?
Skulle man bara inte kunna sätta in x = a/4 i denna ekvation b = -a/2*x + 2 från början och få fram vad b är?
Nej, nu blandar du en y-koordinat från linje L2 med k-värdet från linje L1
Aha så det är endast L2 som går igenom punkten (a/4, b)? Det förklarar saken! Jag läste lite slarvig och trodde nämligen att både L1 och L2 gick igenom den punkten.
Korrekt.
Om två vinkelräta linjer skär varandra i en punkt, så har de garanterat olika m-värde, (såvida punkten inte ligger just på y-axeln).
Rita gärna en figur för att bli säker på det.