4
svar
298
visningar
Imran Mohamoud behöver inte mer hjälp
Varför är min beräkning fel? Proton acceleration i elektrisk fält
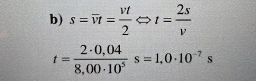
Gällande b)


Men facit säger:

Studenten06 skrev:
Jag hänger inte med där.
Pieter Kuiper skrev:Studenten06 skrev:
Jag hänger inte med där.
Spänning delat med sträcka är ju elektrisk fältstyrkan
Studenten06 skrev:Spänning delat med sträcka är ju elektrisk fältstyrkan
Men spänningen var inte given. Så den hade du räknat ut i a) ?
Och beloppet råkar vara samma som det givna värdet för hastigheten, av en slump?
Pieter Kuiper skrev:Studenten06 skrev:Spänning delat med sträcka är ju elektrisk fältstyrkan
Men spänningen var inte given. Så den hade du räknat ut i a) ?
Och beloppet råkar vara samma som det givna värdet för hastigheten, av en slump?
Oj jag ser det nu. Tack.

