2
svar
95
visningar
Na5a behöver inte mer hjälp
Varför blev det så för kvadraten?
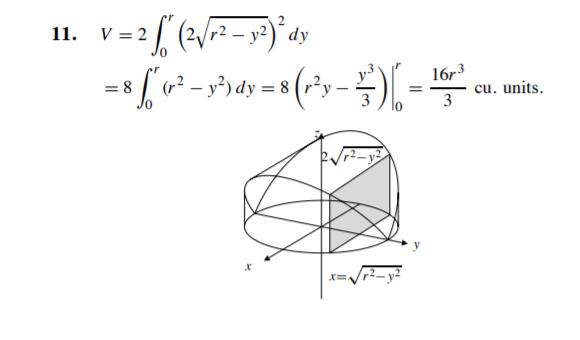
Jag ska lösa denna uppgift:

Jag kollat på facit och förstår inte riktigt det:

Var kommer ifrån?