3
svar
90
visningar
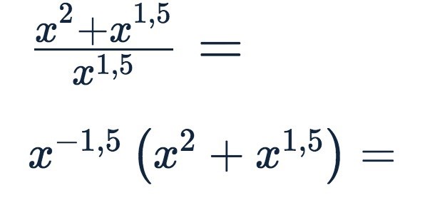
Varför bli potensen negativ?

Hej, jag förstår inte varför potensen 1,5 blir negativ i steg två. Kan någon förklara?
Tack på förhand!
För att den flyttas upp från nämnaren. Om du kan dina potenslagar så vet du att
mrpotatohead skrev:För att den flyttas upp från nämnaren. Om du kan dina potenslagar så vet du att
men i den potenslagen sätts ju x^-2 till höger om =
Är det verkligen samma sak? hur kan det vara det? i uppgiften jag lagt upp så blir ju nämnaren en faktor till täljaren?
Ja det är samma sak. (2+x)/x = x^-1 *(2+x), enligt lagen kan du tänka att det står 1/x=1*x^-1