4
svar
186
visningar
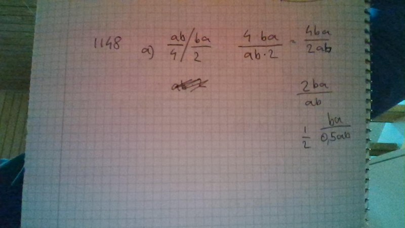
varför blir det 1/2 jag får det till 2ba/ab
har jag rätt eller ska man få exakt 1/2
uppgiften plus min uträkning

förutom att det ska stå ab/2ba
Vilken regel är det du använder när du flyttar omkring 4 och 2? Det blir inte rätt.
Hur gör du på det här enklare exemplet? .
ba = ab
Kalla "ab/2" för t.ex. "äpple"
Det kan vara svårt att minnas räkneregeln "multiplicera täljaren med den inverterade nämnaren".
Då är det bra att veta att man inte alls behöver komma ihåg den räkneregeln.
Man klarar sig bra med metoderna förlängning och förenkling. Inte bara i detta fallet utan det gäller generellt.
Så här:
Uttrycket är
Förläng "huvudbråket" med 4:
Förenkla:
Kommer du vidare själv därifrån?