Varför blir integralen 4/3?
HEj,
jag förstår inte varför F(x) ska bli 4x1,5/3, hur blir det 4 och hur blir det 3?

Primitiva funktionen blir då ett uttryck med
Förläng med 2 för att få ett heltal i nämnaren.
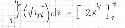
Din första rad stämmer inte. Det är inte så man beräknar integraler.

Det som står före likhetstecknet betyder att du skall beräkna en integral med nedre gräns 2 och övre gräns 4. Funktionen som skall integreras är . Det är samma sak som
Då behöver du hitta en funktion F(x) som är sådan att derivatan av F(x) blir just
Man kan se att är samma sak som och med den vanliga regeln ("..upphöjt till ett mer...") får man att en sådan funktion F(x) är , alltså
Integralen blir lika med
Tillägg: 15 aug 2023 23:11
Rättning: Bråket i den primitiva funktionen skall ju vara 2/3, inte 3/2 som jag skrev. Då multiplicera man ihop till 4/3, inte till 3
Det är inte heller så att du får om du sätter in x = 2 i .