1
svar
144
visningar
Studenten06 behöver inte mer hjälp
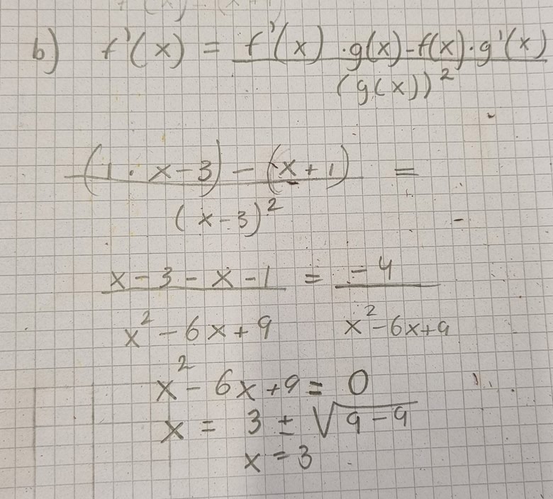
Varför blir min nollpunkt samma som lodräta asymptop?
Gällande b), det står att man ska skissa grafen och då behöver jag ju nollpunkterna och derivatan runt dem. Men när jag gör derivatan får jag samma värde som lodräta asymptopen som är 3. Varför?


När man delar med 0 kan det dyka upp diverse konstigheter.