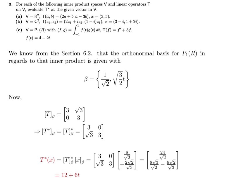
Matematik / Universitet 0 svar 53 visningar Dualitetsförhållandet 1287 – Fd. Medlem Postad: 4 mar 2021 13:32 Varför blir T_beta det här? Tack på förhand! Användare skriver Svara Du behöver Logga in eller Bli medlem först! Avbryt