2
svar
65
visningar
Etthejfrånpolhem behöver inte mer hjälp
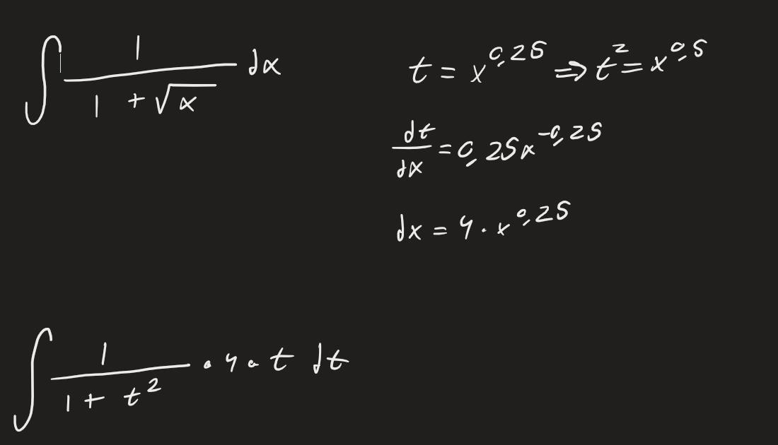
Varför blir variabelbytet knasigt?
Tjena, försökte ta integralen av men det blir konstigt, finns det någon förklaring till detta? Svaret ska bli


Tack för hjälpen på förhand!
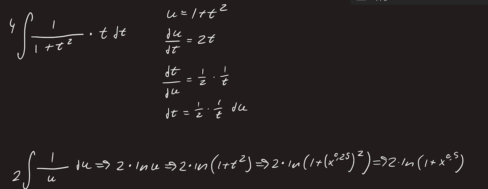
Jag har inte kontrollerat det övriga, men detta stämmer inte.

Yngve skrev:Jag har inte kontrollerat det övriga, men detta stämmer inte.
typiskt slarvfel! tack för hjälpen =)