Varför existerar ej gränsvärdet?(Flervarre)
Hej!
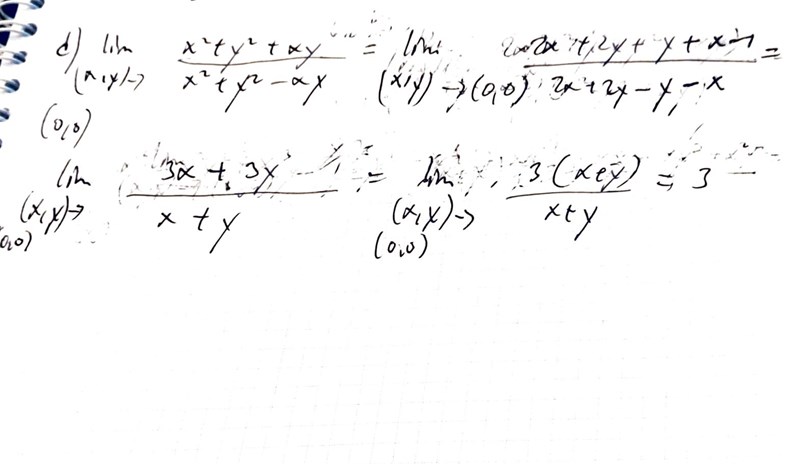
I fråga 17d) så använde jag L'hopital regeln och fick 3 men facit säger gränsvärdet existerar ej.

Så som jag har förstått det så ingår det inte i Flervariabelanalys att använda sig av L’Hopital.
Testa göra ett byte till polära koordinater och se vad du får :)
Luffy skrev:Så som jag har förstått det så ingår det inte i Flervariabelanalys att använda sig av L’Hopital.
Testa göra ett byte till polära koordinater och se vad du får :)
Är det så? Det funkade i en annan uppgift. Men det kanske ej alltid funkar! Oki då testar jag det.
Om man vet att gränsvärdet existerar, så kan beräkna det med L Hopital, för då måste gränsvärdet vara oberoende av vägen mot gränsen. Då kan man använda bekvämaste möjliga väg d v s låta y bero på x på något trevlgt sätt för att få något endimensionellt. Men i motsats till det endimensionella fallet får du inget existensbevis på detta sätt (såvida det inte finns någon för mig okänd typ av utvidgning av L Hopital till fler dim än 1) Existensen måste man få fram på något annat sätt. I det här aktuella fallet fick jag olika gränsvärden om jag satte y=x resp. y=-x. Gränsen blir då inte oberoende av vilken väg man väljer, varför gränsvärdet inte existerar.
Precis som Tomten säger så verkar l'hopital gälla för funktioner av 1 variabel (och man kan använda den om man vet att gränsvärdet finns, d.v.s. du hamnar på gränsvärdet vilken väg du än väljer dit.) I ditt fall har du kollat att man kan hamna på 3 om man väljer att närma sig (0,0) på ett visst sätt.
Så här ser kvoten ut om man plottar den. Man anar att man kan hamna på olika gränsvärden beroende på vilken väg man väljer precis som Tomten kom fram till. Obs att en plot varken bevisar eller motbevisar existens av gränsvärdet.
