4
svar
145
visningar
Exoth behöver inte mer hjälp
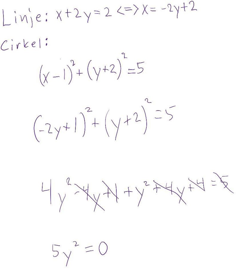
Varför får jag inte fram båda y-värdena?
Jag förstår inte varför denna uträkning inte leder till ett fall som visar mig båda punkternas y-värden, här verkar det bara leda till ett svar för y.
Frågan är var en cirkel och linje skär varandra.

Dina uträkningar är rätt.
Linjen tangerar cirkeln i en enda punkt.
Ritade du?
Ursäkta, jag tittade på fel tal i facit och trodde det skulle vara två punkter!
Tack för hjälpen.