2
svar
100
visningar
PolarenPer behöver inte mer hjälp
Varför får jag inte rätt svar med sinussatsen?
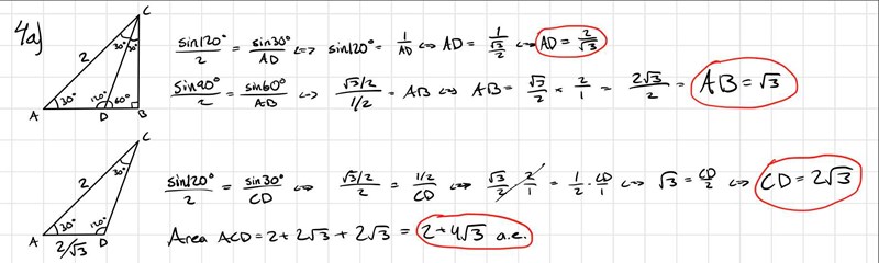
Kommer bifoga tre bilder. En bild på uppgiften, en bild på min (felaktiga) lösning, en bild på facit. Kan någon klura ut vad det är jag har gjort fel?
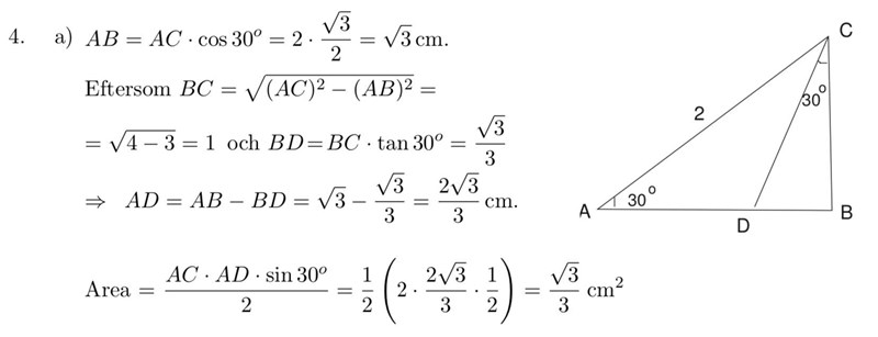
Sen förstår jag inte riktigt facit heller, som blandar in tangens och cosinus. Någon får jättegärna förklara mer ingående hur facit löst uppgiften.
Uppgiften:

Min lösning:

Facit:


Om du tittar på uttrycken jag ringat in, så ser du att AD = CD, övrig termer är lika. Men uträkningen på CD stämmer inte.
Sten skrev:
Om du tittar på uttrycken jag ringat in, så ser du att AD = CD, men uträkningen på CD stämmer inte.
Världsklass, tack för hjälpen! Nu fick jag allt rätt.