varför får man inte rätta värden när man titrerar en kurva
varför får man inte rätt värden när man titrerar och ska få fram pka värden! vad kan vara felkällor?
Katrin123 skrev:varför får man inte rätt värden när man titrerar och ska få fram pka värden! vad kan vara felkällor?
Det går inte att svara på med så lite info.
Mätt upp fel mängd av titranden
fel koncentration på titratorn
pH-elektroden är inte korrekt kalibrerad
luftbubbla i byretten, så man läser av volymen fel
är några som jag kom på just nu, men det finns säkert fler


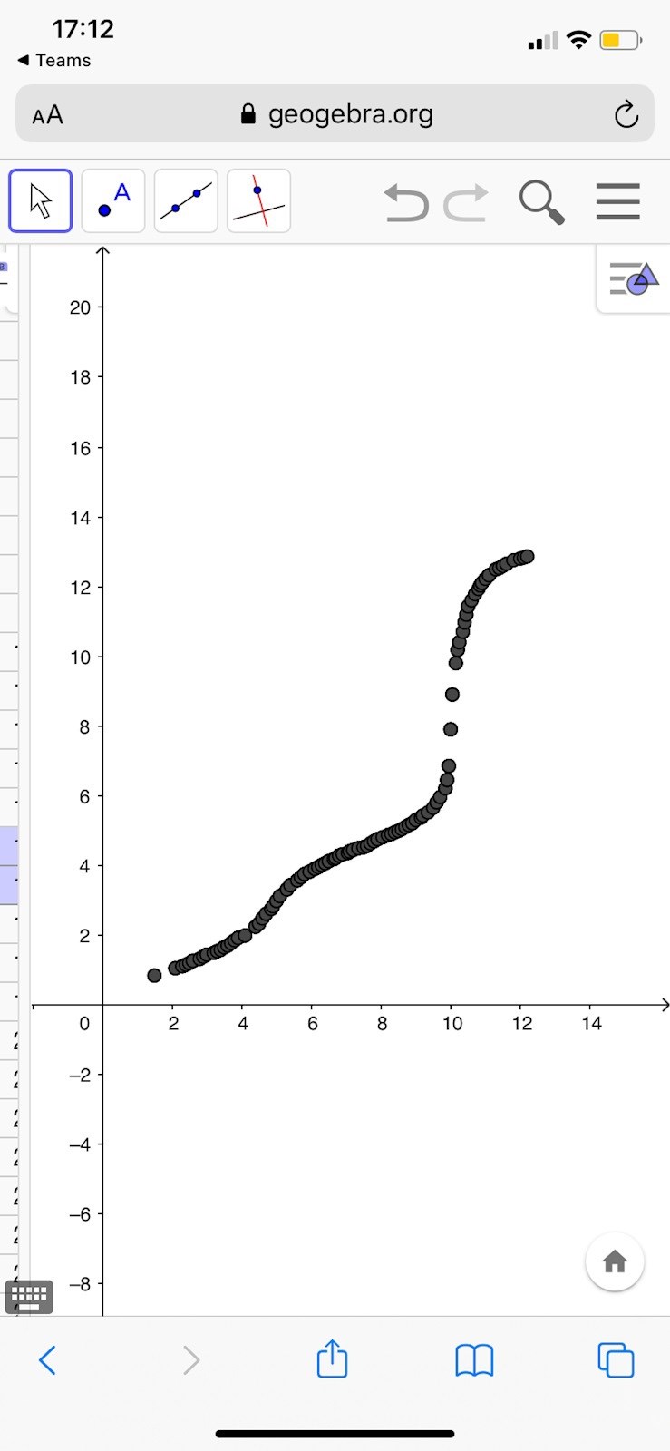
Det här är de två kurvorna vi fått och värdena stämmer inte med citronsyra och malonsyras pka värden och vi vet att kurvan kan fortsätta ännu mer och vi undrar varför man inte får rätt värden? Kan det vara att syran är för svag eller att den är flerprotonig eller att den är stark bas?
Visa spoiler
Skriv ditt dolda innehåll här
Du har redan en tråd om den här uppgiften, fortsätt där så blir det mindre dubbelarbete.