7
svar
20
visningar
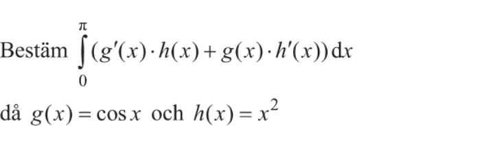
varför funkar inte min metod ?

Prova och derivera

och se vad du får
Denna uppg går ut på att känna igen derivering av en produkt.
Enklaste sätter var nog att gör så här

Trinity2 skrev:Prova och derivera
och se vad du får
Denna uppg går ut på att känna igen derivering av en produkt.
Syftade du på produktregeln ?
Arup skrev:Trinity2 skrev:Prova och derivera
och se vad du får
Denna uppg går ut på att känna igen derivering av en produkt.
Syftade du på produktregeln ?
Typ. Om du deriverar

Vad får du då?
en produkt regel
jag löste den i #4


