Varför gånger pi?
Sitter med enhetscirkeln och har två uppgifter som är lika där jag inte förstår varför man får fram just det svaret.
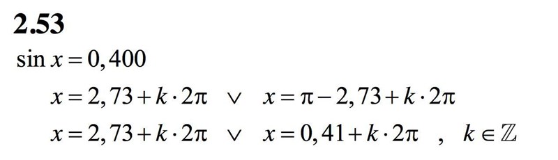
Den första är: Du får veta att sin2,73=0,400, vad är den generella lösningen på likningen på sinx=0,400
Två frågor: Vad är det som är 2,73? Jag förstår att 0,400 är "höjden" på y-axeln och vet jag att jag får fram rätt svar om jag tar pi-2,73, men varför ska jag göra detta? Vad är formeln?
Och uppgift 2
Du får veta att cos1,35=0,219, vad är den generella lösningen på likningen på cosx=0,219?
Här berättade min lärare snabbt att jag bara skulle sätta in 2*pi-0,219 så fick jag fram svaret. Men varför ska jag göra detta och då förstår jag ju att formeln för denna är , men multiplicerar jag inte alla gånger med pi i början?
Tack på förhand
2,73 är en vinkel i enheten radianer. Tanken är att du ska använda enhetscirkeln för att hitta det värde du skulle få om du skrev in 0,4 i din miniräknare och tryckte
Sedan ska du använda det för att hitta den generella lösningen.
2,73 och 1,35 är vinklar uttryckta i radianer.
Precis som man kan mäta avstånd i kilometer eller miles så kan man mäta vinklar i grader eller radianer.
Det är ett linjärt samband mellan grader och radianer.
Sambandet är att 1° = 2*pi/360 radianer = pi/180 radianer.
0° är alltså en lika stor vinkel som 0 radianer.
45° är alltså en lika stor vinkel som 45*pi/180 = pi/4 radianer.
---
Om du vill omvandla från radianer till grader så gäller på samma sätt
1 radian = 180/pi grader.
2,74 radianer är alltså lika med 2,74 * 180/pi grader.
Du kan läsa mer om radianer här.
Ja, okej!
Men hur hjälper det mig att få fram svaret likt detta?
Varför tar man minus pi?

Klarafardiga skrev :Ja, okej!
Men hur hjälper det mig att få fram svaret likt detta?
Varför tar man minus pi?
Titta i enhetscirkeln.
Det finns två vinklar som båda ger samma sinusvärde.
Om den ena vinkeln är v så är den andra vinkeln pi-v.
Läs mer om detta här.
Ja, så var det! Så om jag hade tagit det i grader hade det istället blivit x=180-(vinkeln)=... Det är samma tillvägagångssätt fast för radianer?
Tack så mycket alla, men har en fråga till.
Säg att jag har då vet jag att x= v x=180-45=
hur vet jag att det är 180-v jag ska använda och inte 180+v? Är det för att jag vet att det bara är i positiva delen av y?
Använd enhetscirkeln. Vilken vinkel är det som ger samma y-värde som vinkeln x?
sin(v) = sin(180° - v)
sin(v) är inte lika med sin(180° + v)