Varför kan inte detta integreras som vanligt?

Om man bara gör:
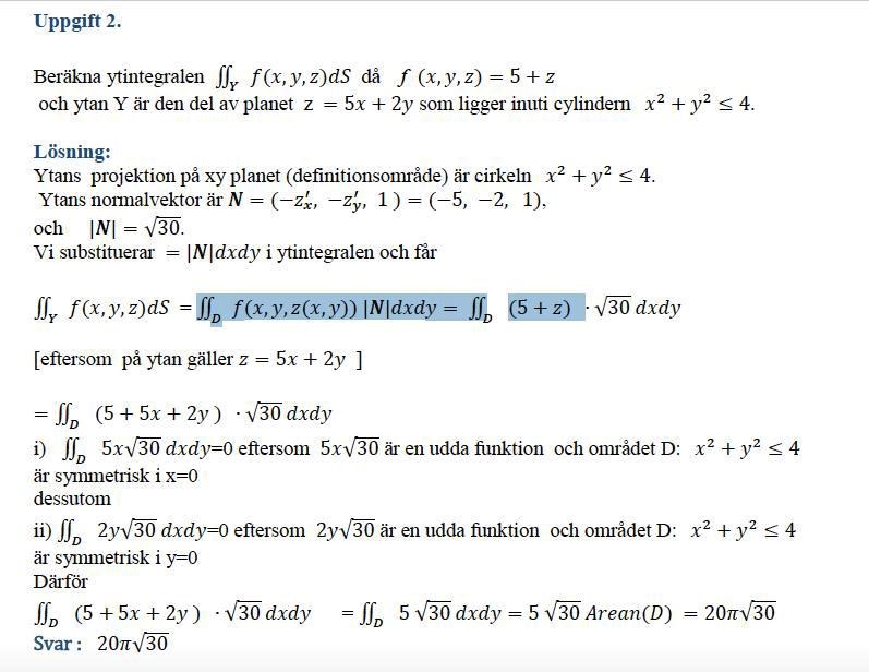
sqrt(30) \int_(-2)^2 dx \int_(-2)^2 5+5x+3y dy ???
för när jag gör det får jag sedan i slutsteget (om så vill så kan jag posta hur jag har räknat ut det) svaret sqrt(30)*80.
för enligt alpha, så ser det ut mer som att jag har hittat längden, snarare ä radien?
(rätt svar är ju 20pisqrt(30))

så frågan blir väl lite såhär, ok, jag räknade ut längden. Men vad är det i fråga som frågar att man ska räkna ut då radien :'D och inte längden, eller aa...
Det står i uppgiften att du skall beräkna ytintegralen över ett visst område, och då ingår det i det du skall veta att man skall räkna ut radien i en cirkel för att kunna beräkna cirkelns area.
Om jag tolkar dina anteckningar rätt, så beräknar du ytintegralen över den del av planet som ligger inom ett rätblock, inte inom en cylinder. Jag tror att du skriver att du integrerar från -2 till 2 i både x-led och y-led, och så står det inte i uppgiften. Dessutom står det 2y sist i integranden i uppgiften, och du har skrivit 3y, men det kanske bara är ett skrivfel.
Det specificeras ju att integrationsområdet från början är en sluttande ellips, eller ett så kallat cylindersnitt varav man sedan omvandlar detta till en integral över snittets projektion på xy-planet vilket är en disk vilket kallas D.
Om man ska integrera över detta område så ska man ju integrera över detta område och inte något annat. Din -integral representerar istället att integrera över ett kvadratiskt område med sida 4 snarare än en cirkel med diameter 4.
En kvadrat är ju inte samma sak som en cirkel så därmed förväntas resultaten bli olika.
SeriousCephalopod skrev:Det specificeras ju att integrationsområdet från början är en sluttande ellips, eller ett så kallat cylindersnitt varav man sedan omvandlar detta till en integral över snittets projektion på xy-planet vilket är en disk vilket kallas D.
Om man ska integrera över detta område så ska man ju integrera över detta område och inte något annat. Din -integral representerar istället att integrera över ett kvadratiskt område med sida 4 snarare än en cirkel med diameter 4.
En kvadrat är ju inte samma sak som en cirkel så därmed förväntas resultaten bli olika.
Men vad är deras övre resp undre gränser? om man tar cylindern?
När man har rotationssymmetri i integrationsområdet eller integranden så är standardlösningen att övergå till polära koodinater i vilket fall man får integrationsgränser
Om man vill ha formella gränser i kartesiska behöver man göra itererad integration
Men vad de gör i facit är en tredjeväg där man med symmetriargument reducerar de tvådimensionella integralerna till endimensionella så att man slipper hela problematiken.
SeriousCephalopod skrev:När man har rotationssymmetri i integrationsområdet eller integranden så är standardlösningen att övergå till polära koodinater i vilket fall man får integrationsgränser
Om man vill ha formella gränser i kartesiska behöver man göra itererad integration
Men vad de gör i facit är en tredjeväg där man med symmetriargument reducerar de tvådimensionella integralerna till endimensionella så att man slipper hela problematiken.
men fattar inte den sista sidan där:
om de inte hade varit udda då?
Vad är arean(D) ?

Om inte funktionerna hade varit udda hade man behövt göra det på något annat sätt, t ex polära koordinater.
Arean av en cirkel har du kunnat beräkna åtminstone sedan Ma1, troligen betydligt tidigare. Eftersom är cirkelns radie 2.
Smaragdalena skrev:Om inte funktionerna hade varit udda hade man behövt göra det på något annat sätt, t ex polära koordinater.
Arean av en cirkel har du kunnat beräkna åtminstone sedan Ma1, troligen betydligt tidigare. Eftersom är cirkelns radie 2.
Kan man inte alltid bara använda polära koordinater? (har lite problem med att fösrtå udda funktioner generellt-)
Jag skulle inte våga påstå att man "alltid" kan göra något, men i det här fallet skulle det ha gått att använda polära koordinater istället, men det hade varit mycket mer jobb.
Udda och jämna funktioner är värda att lära sig - det kommer att underlätta matematiken för dig på lång sikt.