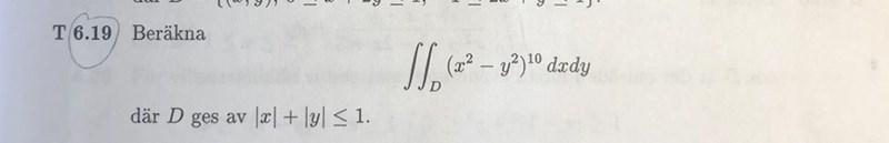
Varför kan inte symmetri tillämpas på integralen? Flervariabel

Funktionen är udda och intervallet symmetriskt, varför kan man inte säga att den blir 0?
Integranden är ju större än eller lika med noll i hela integrationsområdet. Varför skulle integralen då bli noll? Integranden är bara noll på linjerna y = x. I resten av området är integranden större än noll.
Hur är det med f på sträckan x=0 |y|<=1 då? Den tillhör väl D?
Jag tror att det är begreppet ”udda” som spökar här. Det är ju definierat för fkn på R. Det går säkert att utvidga till R2 om man är försiktig. Men för den som ska läsa lösningen blir problemet varje gång att få reda på vad som menas. Jag skulle föredra att få ev. åberopade symmetrier ordentligt redovisade i stället.
Det går nog bra att använda begreppen udda och jämn, om man gör det på en variabel i taget. Men integranden är i så fall jämn, inte udda.
Hursomhelst så tror jag att denna löses enklast med koordinatbyte snarare än att leta efter symmetrier. Tex
u = x + y
v = x - y.