Varför kan jag inte ta den primitiva funktionen ur denna integral?
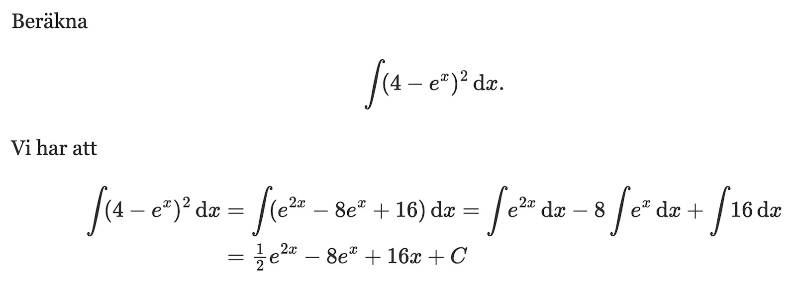
Hej, varför kan jag inte räkna ut den primitiva funktionen av den här integralen? Är det inte bara (4-e^x)². Primitiv pi(16x-8e^x+e^2x/2)?

Roterar du runt x-axeln eller y-axeln? Har du tappat bort pi?
Smaragdalena skrev:Roterar du runt x-axeln eller y-axeln? Har du tappat bort pi?
Jag roterar runt x-axeln och jag tänkte att pi är en konstant så den befinner sig utanför integraltecknet. Därav skrev jag inte med den. Men ändrar det nu.
Det är helt OK att ha pi utanför integralen, bara man inte glömmer bort den.
Varför kan jag inte få fram den primitiva funktionen? För jag försökte och fick fram fel svar och facit skriver att det inte går (väldigt krångligt).
Hejsan266 skrev:Varför kan jag inte få fram den primitiva funktionen? För jag försökte och fick fram fel svar och facit skriver att det inte går (väldigt krångligt).
Det är inte speciellt svårt att beräkna prim.fkn, men jag vet ej exakt på vilken nivå Ma4 ligger, men det borde ingå. Det är inte speciellt svårt.
Trinity2 skrev:Hejsan266 skrev:Varför kan jag inte få fram den primitiva funktionen? För jag försökte och fick fram fel svar och facit skriver att det inte går (väldigt krångligt).
Det är inte speciellt svårt att beräkna prim.fkn, men jag vet ej exakt på vilken nivå Ma4 ligger, men det borde ingå. Det är inte speciellt svårt.
Tror du att du kan skriva vilken primitiv funktion du får så kan jag kanske lista ut var det gick fel?
Jag var förvirrad ett tag... den är enklare än vad först trodde

Notera att PI saknas i räkningarna. Du får multiplicera med PI för att få det rätt.