4
svar
144
visningar
sampledragon5 behöver inte mer hjälp
Varför lika med 0?
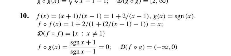
Hej! Jag behöver hjälp med 10b. Varför har facit skrivit att sgn (x) + 1 / sgn(x) -1 = 0 ? . Tack på förhand !!!!
Hur ser sgn(x) ut? Tänk på att sgn(x) kan inte vara lika med 1, annars blir nämnaren 0.
Varför är inte svaret (-oändligheten, 0] dvs varför kan Inte x= 0? För det ger ju värdet 0+1/0-1 DVS NÄMNAREN ÄR INTE 0 DVS DET BORDE GÅ . Jag vet att sgn(x) är lika med - 1 då x<0 , sgn(x) är lika med 0 då x=0 och sgn(x) = 1 då x>0
Jag håller med, men boken kanske har definierat sgn annorlunda.
Tack!!!