Varför olika metoder?
Godmorgon,
Har uppgiften:
Du får veta att vinkeln v ligger i 4e kvadrant och att , bestäm exakt värde för:...
Så har jag fått fram att sinv= men så kommer nästa uppgift som är:
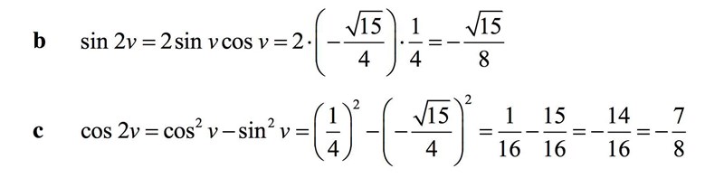
Bestäm exakt värde för sin 2v, och har dom gett mig följande lösning

För det jag gjorde var att jag tog den teknik som dom använt på c, men det blir ju fel. Varför använder dom inte den metoden?
För det första, eftersom v ligger i fjärde kvadranten så får man att
På c så beräknar dom alltså cos(2v) och på b så beräknar dom sin(2v). Eftersom dom frågar efter sin(2v) så använder som alltså inte c utan b.
Men det jag undrar över är varför inte b blir ?
Jag förstår att dom använt Sin(v+v) i b), men varför man gör annorlunda i uppg b) och c)?
Är du med på följande formler
och
?
Haha förlåt, har gått lite fort fram i det sista... Trodde dom gick under samma formel! Tack så mycket stokastisk för hjälpen!
Men tänkte en snabb fråga till.
När man skriver att jag ska skriva så enkelt möjligt och har t.ex. , hur vet jag om jag ska välja att jobba fram ett svar i "cos" eller "sin"? Är det bara det som är enklast för mig?
Det går nog inte riktigt att bara svara generellt vad man ska jobba fram ett svar i. Utan man får ju avgöra från fall till fall vad man tror leder till det lättaste svaret. Men i detta fall så kommer ju inte slutliga svaret bero på vare sig sin eller cos.