Varför omskrivning?

Varför görs det en omskrivning på d) men inte c)? De båda blir väl upphöjt till noll vilket leder till gränsvärde 1? Varför blandas talet e in?
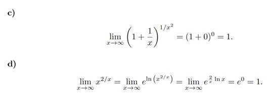
På c) har man väl inga problem, men på d får man oändligheten upphöjt till 0, så man måste hitta en omskrivning?
Hondel skrev:På c) har man väl inga problem, men på d får man oändligheten upphöjt till 0, så man måste hitta en omskrivning?
Oändligheten upphöjt till noll blir alltså inte 1?
swaggerdabber44 skrev:Hondel skrev:På c) har man väl inga problem, men på d får man oändligheten upphöjt till 0, så man måste hitta en omskrivning?
Oändligheten upphöjt till noll blir alltså inte 1?
Det tror jag inte man kan säga i allmänhet nej. Det är ju två ”krafter” som verkar åt olika håll: upphöjt till 0 tenderar till 1, men oändligheten tenderar ju åt oändligheten. Så vem vinner?
Hondel skrev:swaggerdabber44 skrev:Hondel skrev:På c) har man väl inga problem, men på d får man oändligheten upphöjt till 0, så man måste hitta en omskrivning?
Oändligheten upphöjt till noll blir alltså inte 1?
Det tror jag inte man kan säga i allmänhet nej. Det är ju två ”krafter” som verkar åt olika håll: upphöjt till 0 tenderar till 1, men oändligheten tenderar ju åt oändligheten. Så vem vinner?
Ok,tack!