Varför plus mitt i ekvationen?
Hej!
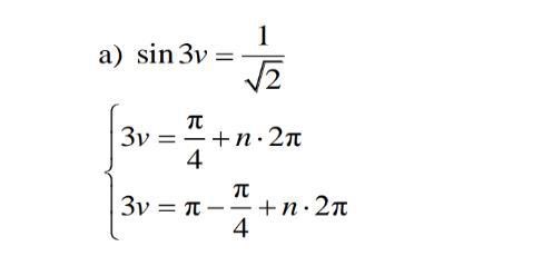
Jag har denna uppgift:
Och jag undrar varför man på raden längst ner använder sig av minus och inte plus?
Mvh
Har du ritat upp en enhetscirkel med en lämplig linje? Då ser du varifrån de två lösningarna kommer.
Förstår tyvärr fortfarande inte varför man använder addition
rita in vinkeln i samma figur så förstår du säkert varför den vinkeln också fungerar som lösning.
π-π/4 är ju vinkeln andra sidan y-axeln (alltså 3π/4), de har samma sin-värde. Förstår du?
Jasså! Ok, tack så mycket! :-)
CooltMedKemi skrev:
Förstår tyvärr fortfarande inte varför man använder addition
Rita in linjen också, som jag skrev, så ser du at den skär enhetscirkeln på två ställen, ett i första och ett i andra kvadranten.

Smaragdalena, jag kan inte bedöma var y=1/√2 sitter..
0,7 är nära nog för att du skall kunna rita det (0,75 är ännu enklare att pricka in, och visar också tydligt att det finns två skärningspunkter).
Du behöver inte uppskatta var punkterna är. De är redan inprickade. .
Paranterserna visar alltså sin respektive cosinusvärderma för vinkeln där den är skriven. Cosunis i x-koordinaten och sinus i y-koordinaten.