3
svar
86
visningar
Ställa865 behöver inte mer hjälp
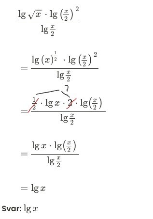
Varför stryker man bort dem?

Varför stryker man bort 2 och 1/2. Då 2 och 0,5 är inte samma sak??
Hur mycket är 1/2 gånger 2?
Jaha så man stryker bort de eftersom det kommer bli *1 med hela talet vilket inte kommer att påverka svaret.
Eller?
Just det.