4 svar
117 visningar
Annaaaaaaa 127 – Fd. Medlem
Postad: 28 apr 2023 19:58

variabel substituion

Beräkna ex1+ex*dx

Jag tror att man ska substituera t=  1+exoch derivatan blir e men hur ska fortsätta med uppgiften ?

Annaaaaaaa 127 – Fd. Medlem
Postad: 28 apr 2023 20:04

derivatan blir e^x menar jag

Fermatrix 7621 – Fd. Medlem
Postad: 28 apr 2023 20:05

Okej, låt oss prova. 

t=1+ext=1+e^x

dt=exdxdt=e^xdx

dx=dt/exdx = dt/e^x

Du har nu:

1t\displaystyle \int \dfrac{1}{t}

Kommer du vidare? (Notera att jag kan ha slarvat, så dubbelkolla).


Annaaaaaaa 127 – Fd. Medlem
Postad: 28 apr 2023 20:08

jag förstår inte alla stegen i lösningen jag förstår att man ska lösa dx men hur får du en etta i täljaren? 

Fermatrix 7621 – Fd. Medlem
Postad: 28 apr 2023 20:14

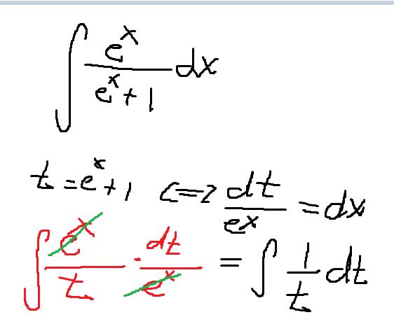
Det finns en genväg, men vi kan ta den längre vägen först:

Förhoppningsvis är min handstil via paint läsbar:

Hänger du med på detta?

Svara
Close