2
svar
185
visningar
Variabel substitution
ska använda variabelsubstition 
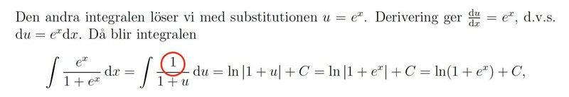
dock undrar jag vart 1 kommer ifrån, ska det inte stå u istället för 1?
i variabel substitutionen måste du ta hänsyn till vad är ger
En gammal post men jag satt med samma tal ikväll och har nu löst det så postar i denna tråd ifall någon snubblar in i denna gamla tråd ihop om en förklaring. Det finns steg där emellan som kan skrivas tydligare såhär:
Du vet sedan tidigare att
Man utnyttjar det genom denna omskrivning:
Och därefter fortsätter det som i trådskaparens uträkning.