variabelbyte
Hej jag har lite svårt att förstå varibalebyte vid integraler. Jag håller nu på med att lösa lite uppgifter från en gammal tenta och på ena lösningsförslaget så använder dom varibelbyte till sfäriska koordinater med jacobsdeterminanten r^2sin()

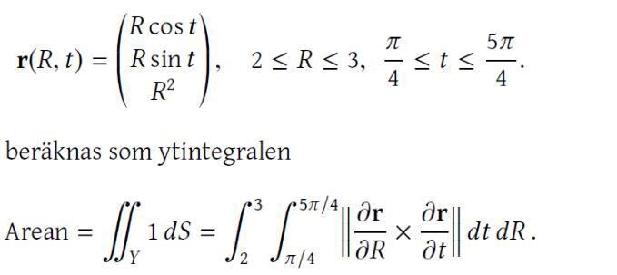
Men här använder dom

och jag fattar inte när man skall använda när o så
Hur är uppgiften formulerad? Vilket område är K?
Ditt första exempel är en volymsintegral och det andra är en ytintegtal.
Beloppet av en jacobideterminant dyker alltid upp vid variabelbyten i multipelintegraler. För ytintegraler är den allmänna formen så som de har skrivit i facit. För sfäriska koordinater så är
Dr. G skrev:....Beloppet av en jacobideterminant dyker alltid upp vid variabelbyten i multipelintegraler. ....
Vad är multipelintegraler?
solaris skrev:Dr. G skrev:....Beloppet av en jacobideterminant dyker alltid upp vid variabelbyten i multipelintegraler. ....Vad är multipelintegraler?
Dubbel- och trippelintegraler helt enkelt.
(Man kan så klart även ha kvadrupel- och kvintupelintegraler o.s.v., men dessa brukar man inte tala om särskilt mycket i en grundkurs i flervariabelanalys)