Variabelbyte (2)
Det känns som att jag har gjort fel någonstans. Jag förstår inte heller vilket område D det handlar om, trots att jag fick till ritningen.


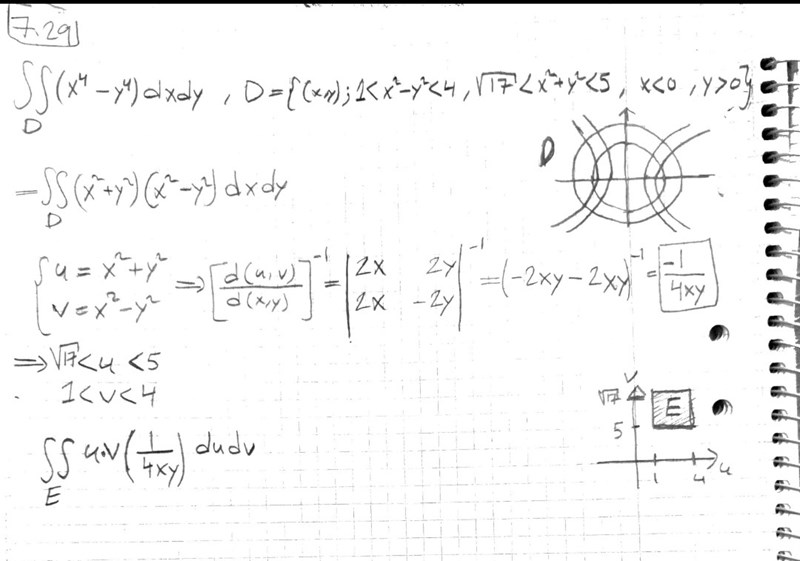
Du verkar ha ritat någorlunda bra:

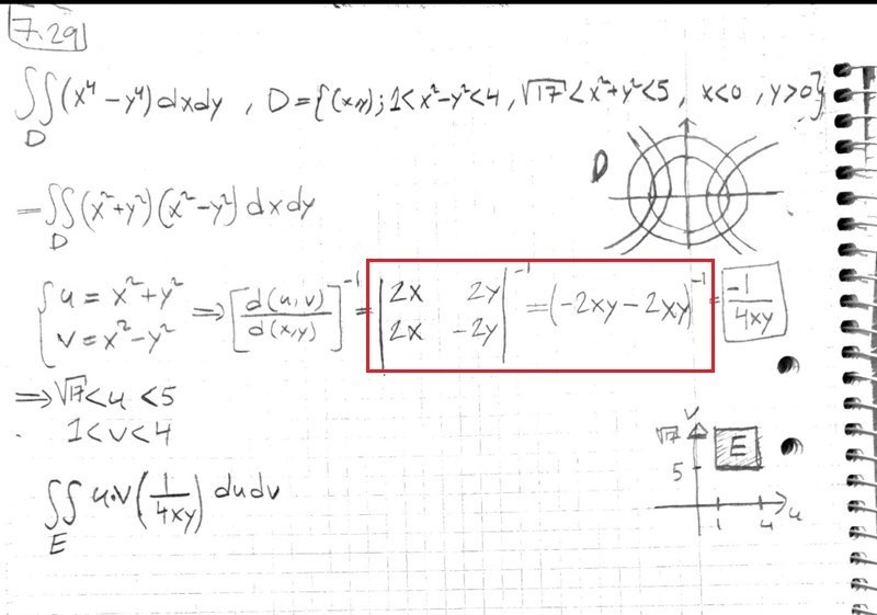
Sedan har du räknat ut determinanten fel, se över det. Kommer du vidare?
Jag tror att du satte i din bild, så det är bara att tänka att området är detsamma som i din bild fast i andrakvadranten (?).
Och jag ser inte felet i funktionaldeterminanten, det är ju och i och med att jag räknar istället, så tar jag inversen av resultatet så det blir rätt. Eller vad menar du?
Soderstrom skrev:Jag tror att du satte i din bild, så det är bara att tänka att området är detsamma som i din bild fast i andrakvadranten (?).
Helt korrekt.
Och jag ser inte felet i funktionaldeterminanten, det är ju och i och med att jag räknar istället, så tar jag inversen av resultatet så det blir rätt. Eller vad menar du?

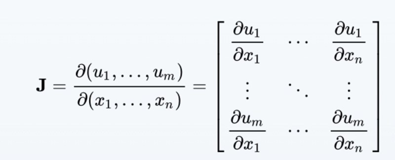
Hur definieras en determinant?
Jag ser dock att variabelbytet genom jacobianen är lite knasig då areaelementet definieras som följande parallellogram:
Hur ska en invertering kunna ge samma resultat? Det kanske är något jag inte känner till. Jag skulle definiera följande:
Detta ger:
Eller kommer ovan ge samma resultat som ditt när du räknat ut determinanten korrekt?
Fast nää? Ser inte Jacobideterminanten som nedan??? Din Jacobi bör alltså transponeras... eller ger både min J och din J samma resultat? Jag är förvirrad lite 😳

Och jag räknade J preciiis som exemplet nedan (från boken), de räknar först och sedan inverterar de resultatet så att de får det på rätt form.

De räknar nog så för att det är enklare. Men jag vet inte, man måste ändå substituera tillbaka så jag tycker inte det är enklare egentligen. I det här fallet innehåller nämligen determinanten x och y. När de inte gör det kanske man kan göra så där.
Man får hursomhelst samma resultat oavsett tillvägagångssätt.
Och nej, min är för areaelementet. Alltså när du transformerar mellan variabler. Din är inversen av areaelementet.
I ett annat exempel gör dom samma sak igen, alltså att dom inverterar J.

I ditt fall kommer du få:
Detta blir sedan i integralen:
Detta skulle du få direkt med den icke-inverterade metoden. Men det kanske är enklare det de gör, jag vet inte riktigt. Det beror mycket på.
Tack Ebola! Jag förstår nu. Tänkte aldrig att du hänvisar till uträkningen av 2x*2y osv.. tog det för givet att jag räknade rätt 🤦♂️. Tänkte istället att du hänvisar till algoritmen och uppställningen av sjävla J.
Aha, okej. Ser nu att det blev lite fel där ovan i det jag skrev men du löser det säkert.
Jag kom tyvärr inte vidare. Även när jag försökte med din metod, Ebola, så gick det inte bra. Jag löste ut ur och fick och gjorde samma sak med ur uttrycket för och fick .
Men det blir knas sen i integranden :(