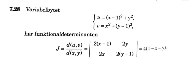
Variabelbyte
Kan någon förklara varför variabelbytet blir som det blir?


Hej!
Vad menar du? Hur man beräknar funktionaldeterminanten? Varför man väljer området som man gör? Vad som blir gränserna? ...?
Alltså, jag får inte direkt samma svar som i facit. De nämner att funktionaldeterminanten är <0 men förstår inte varför.

Ledning:

Det är exakt det jag inte förstår. Du ritade alltså funktionaldeterminanten? Och den är negativ?
Jacobideterminanten = 1 - x - y är 0 på den blå linjen. Var är den negativ och var är den positiv?
Ligger integrationsområdet där determinanten är positiv eller negativ? Tänk på att det är absolutbelopp kring determinanten i formeln för variabelbyte.
Den är negativ då ? Jag förstår fortfarande inte :(
Nej, det stämmer inte. Vi har J(x, y) = 1-x-y. Var i xy-planet är J(x, y) < 0. Jag har visat med den blå linjen var J(x, y) = 0. 1-x-y = 0 x+y = 1.
Tillägg: 22 sep 2021 19:17
Hej, såg att J(x, y) = 4(1-x-y), men det spelar ju ingen roll för argumentationen.
Jag förstår fortfarande inte varför det är relevant... Kan inte koppla
I formeln för variabelbyte så finns en faktor. Är du med på det? Om du integrerar över ett område där j = är positiv så kan du ta bort beloppstecknet och bara skriva j. Du vet |x| = x, om x 0. Om j är negativ så kan du ta bort beloppstecknet och istället skriva -j. Du vet |x| = -x, om x < 0.
Därför är det relevant.
Ja, jag är med! Tack så mycket!