offan123 behöver inte mer hjälp
offan123 3072
Postad: 15 dec 2022 22:58

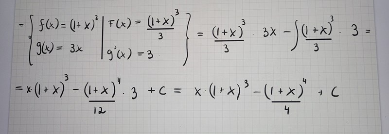
Variabelbyte

Så jag ska göra ett variabelbyte så jag har valt mitt t, men när jag sedan vill få ut dt så blir det bara 1. Man brukar ju göra så att det som är rosa ska vara likamed dt. 1 är ju knappast likamed 3x. Hur kan man skriva om dt så det passar?

Analys 1246
Postad: 15 dec 2022 23:05

Är du tvingad att göra variabelbyte, behövs ju inte.

offan123 3072
Postad: 15 dec 2022 23:52

Vilken metod är bättre att använda?

Analys 1246
Postad: 16 dec 2022 00:50

Du har ju ett polynom:

3x(1+x)^2 = 3x(1 +2x + x2) = 3x + 6x2 + 3x3

Analys 1246
Postad: 16 dec 2022 00:51

Fast bättre vet jag kanske inte. Enklare tycker jag.

Svara
Close