1
svar
82
visningar
offan123 behöver inte mer hjälp
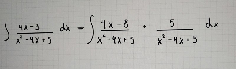
Variabelbyte, delat upp bråket
Jag har valt att dela upp bråket på följande sätt så jag får 2dt=(4x-8) dx
MEN hur blir det med den andra kvoten längst till höger?
Är det så att den vänsta kvoten löses med variabelbyte och den högrea löses separat med primitiv funktion som vanligt?
Skriv först nämnaren som (x-2)2 +1 Sätt sedan t=x-2 Då får du integranden till typ (at+b)/(t2 +1) som du delar upp i at/t2 +1 och b/(t2 +1). Den första är av typ f´/f med primitiv fkn ln (f) och den andra primitiva fknen är en arctan(f)