1
svar
54
visningar
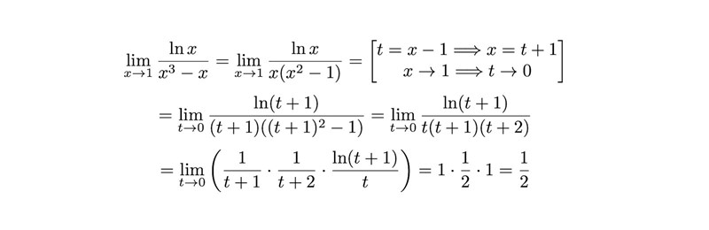
Variabelbyte för gränsvärden

jag förstår resonemanget bakom men förstår inte riktigt .
Är det så att man ska lägga in
Ja, precis.