1
svar
156
visningar
Variabelbyte i en dubbelintegral
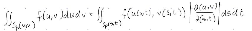
Hej! Jag förstår inte riktigt innebörden av termerna i följande uttryck 
I övrigt förstår jag vad som händer; att man byter variabler och uttrycker u och v i s och t, men vad representerar då |∂(u,v)/∂(s,t)| egt?

Hej!
Vet inte om du fortfarande behöver hjälp, men det är determinanten av Jakobianen, vilket funkar som en skalfaktor. När man gör ett variabelbyte går man nämligen från ett koordinatsystem i uv-planet till ett koordinatsystem i st-planet.
Det räcker inte bara med att skriva om i termer av och , utan man måste även skala om lite. Därför blir:
där skalfaktorn, dvs determinanten av Jakobianen, är den här grejen: .