2
svar
195
visningar
offan123 behöver inte mer hjälp
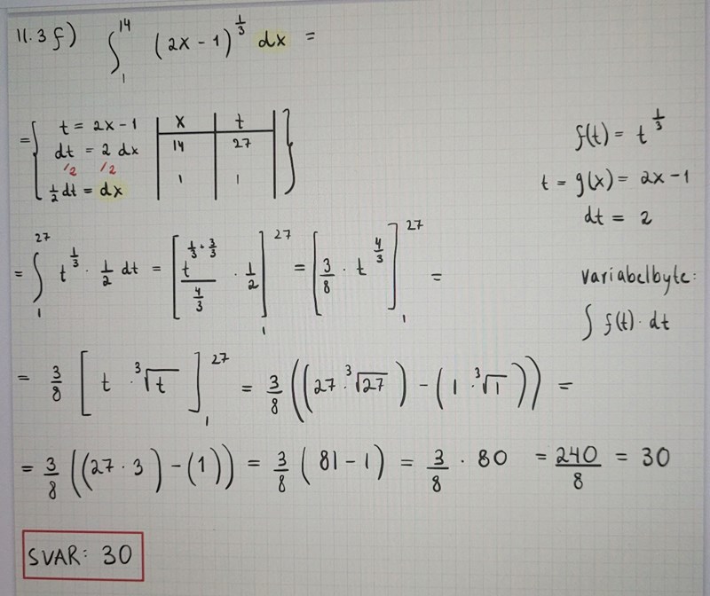
Variabelbyte i integral
När man tar fram variabelbytet för en primitiv funktion så sker det på slutet (dvs ersätter alla t) men för en integral är det alltid så att själva integralsgränserna som indikerar att man gjort själv bytet?
Hur menar du med indikerar att bytet gjorts? Det märks väl på din uträkning och vilken variabel du använder? :)
När du 8ntegrerar skall du ju få fram värde, här har du ju bytt till t i gränser och integrand(blått). Finns ingen anledning att byta tillbaka.
För en primitiv funktion måste man växla tillbaka till ursprungliga variabeln.
