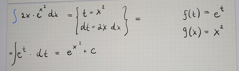
Matematik / Matte 4 / Integraler och tillämpningar 1 svar 29 visningar offan123 behöver inte mer hjälp Avmarkera offan123 3072 Postad: 17 dec 2022 18:41 Variabelbyte med e Stämmer detta? Ture 11067 – Livehjälpare Postad: 17 dec 2022 19:05 Det är rätt Användare skriver Svara Du behöver Logga in eller Bli medlem först! Avbryt