Variabelsubstitution
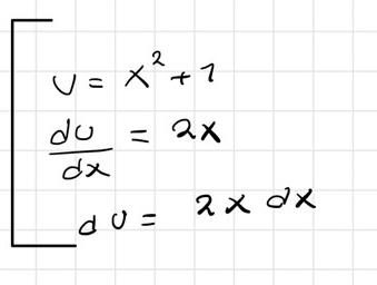
Jag fattar inte vart 2x tar vägen,
För att gå från "dx" till "du" måste ta bort 2x också.
du=2xdx
Så rad 2 i din uträkning ska vara
För att integrera med avseende på u måste du byta ut 2x dx till du.
Gäller det alltid då jag har en faktor?
Exempelvis om jag ha integral
x^2(x^2+5)^2dx
U^2 du
alltså gömmer sig x^2dx i du
noa9 skrev:Gäller det alltid då jag har en faktor?
Exempelvis om jag ha integralx^2(x^2+5)^2dx
U^2 du
alltså gömmer sig x^2dx i du
Menar du 2*x dx?
Nej i kvadrat
noa9 skrev:Nej i kvadrat
Det gäller inte att .
Okej då fattar jag, alltså det gäller bara polynom av grad ett?
I din sidoutredning
tar du reda på hur du förhåller sig till dx. Detta beror på vilken substitution du har gjort. Om du väljer så är alltid. Inte vad som helst som står framför.
noa9 skrev:Okej då fattar jag, alltså det gäller bara polynom av grad ett?
Det blir så här enkelt för att derivatan till din substitution finns med som en multiplikation av integranden.
Ex om du har så blir substitutionen väldigt trevlig.
Alltså så handlar det om att testa sig fram , ska vi alltid försöka få den inre funktionen och faktorn vara lika.

noa9 skrev:Alltså så handlar det om att testa sig fram , ska vi alltid försöka få den inre funktionen och faktorn vara lika.
Snyggt löst! Jag ville bara visa att hur dx och du förhåller sig till varandra beror på vilken substitution du gör. Vilken substitution som är lämplig beror på hur din integrand ser ut :D
Mer allmänt så letar jag efter ett f och g så att min integral ser ut som . Då vet jag att om jag sätter g(x)=u så här du=g'(x)dx vilket leder till
I ditt första fall är och så sedan har du derivatan av g(x), g'(x)=2x.
Tack för hjälpen , nu fattar jag:D