Varians
"En stokastisk variabel har frekvensfunktionen
Beräkna variansen för ."
Jag behöver hjälp då jag inte har någon aning om vad jag ska göra. I formelsamlingen står dock "Variansen för en s.v. : , där är väntevärdet.". Jag vet inte om detta kan vara till någon nytta.
Jag antar att det är en kontinuerlig stokastisk variabel, annars har jag ingen aning:
"Definitionen" av väntevärde av en kontinuerlig stokastisk variabel är: , där är täthetsfunktionen. I ditt fall blir exempelvis (använder som den stokastiska variabeln här, men samma sak egentligen):
EDIT: La till att formeln ovan är för kontinuerliga stokastiska variabler.
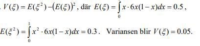
Vet inte om det kan hjälpa dig till att hjälpa mig:

Plugghingsten skrev:Vet inte om det kan hjälpa dig till att hjälpa mig:
Du har själv skrivit hur du beräknar variansen. För att göra det behöver du beräkna , och jag har precis visat hur man beräknar dom. Du får själv beräkna integralerna och sedan variansen. Kommer du vidare därifrån jag lämnade i mitt första inlägg? Glöm inte att även beräkna .
EDIT: Jag ger upp på mitt försök att försöka identifiera och hitta din stokastiska variabel (namnet på den), använder bara X för din stokastiska variabel istället.
Symbolen är den grekiska bokstaven xi och skrivs här som \xi.
Symbolen är den grekiska bokstaven zeta och skrivs här som \zeta.
Till Plugghingsten:
- Om du inte vet vad varians för stokastisk variabel är för något så ska du ta reda på det genom att läsa.
- Om du inte vet vad väntevärde för stokastisk variabel är så ska du ta reda på det genom att läsa.
- Om du inte vet vad frekvensfunktion (täthetsfunktion) för kontinuerlig stokastisk variabel är så ska du ta reda på det genom att läsa.
När du har gjort allt det, och således vet vad uppgiften handlar om, är du välkommen att diskutera dina tankar med oss.
Albiki skrev:Symbolen är den grekiska bokstaven xi och skrivs här som \xi.
Symbolen är den grekiska bokstaven zeta och skrivs här som \zeta.
Xi och zeta finns också i formelskrivaren, bland de grekiska bokstäverna (fliken alpha-Omega).
Plugghingsten skrev:Vet inte om det kan hjälpa dig till att hjälpa mig:
Är det vad som står i facit? Ja, det är så man gör. Är det själva begreppen du är osäker på?
Återkommer till denna uppgift imorgon då jag har skrivit tentamen idag och är ganska trött. Dock hindrar det mig inte från annan räkning.