1 svar
188 visningar
avenged 134 – Fd. Medlem
Postad: 3 jun 2019 08:44

Varians

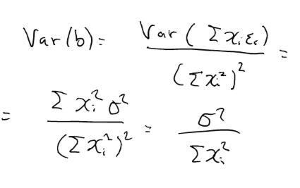
Vad är det för regel som säger att man kan skriva om Var(sigma(XiEi)) till sigma(xi^2*lillasigma^2)?

Albiki 5096 – Fd. Medlem
Postad: 5 jun 2019 21:38 Redigerad: 5 jun 2019 21:38

Är du medveten om att \sum i det du skrivit står för summering över index ii?

Svara
Close