0
svar
137
visningar
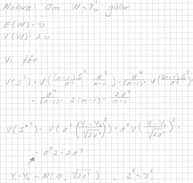
Varians för två vvr estimatorer

Kan någon ta mig igenom lösningen? Varför är det helt plötsligt ett helt annat uttryck för vilket variansen ska bestämmas?
