Variationskalkyl: Eulers ekvation-problem
Uppgiften består i att bestämma den allmänna lösningen till Eulers ekvation för funktionalen
beror inte av så då utgår jag ifrån
Jag förenklar och löser ut
Hur går jag vidare efter det här och är jag på rätt spår?
Svaret ska bli
Välkommen till Pluggakuten!
Funktionalen
är stationär när integranden uppfyller Euler-Lagranges ekvation
Integranden har de partiella derivatorna
och
vilket ger E-L-ekvationen
Derivering av den andra termen ger
Förenkling av denna derivata ger
så att E-L-ekvationen blir
Tack för dina fina svar, uppskattas verkligen. Det kan hända att jag beskriver problemet lite felaktigt då min kunskap inom detta område är tämligen begränsat. Men då integranden ej beror av , används då inte ett specialfall:
jjnte skrev:Tack för dina fina svar, uppskattas verkligen. Det kan hända att jag beskriver problemet lite felaktigt då min kunskap inom detta område är tämligen begränsat. Men då integranden ej beror av , används då inte ett specialfall:
Jag såg att du skrev det i ditt första inlägg, men jag ser inte hur det kommer från E-L-ekvationen. Att integranden ej beror på har ingen direkt påverkan på de två derivatorna som ingår i E-L-ekvationen, som du ser. Har du själv kommit fram till "specialfallet" eller har du blivit tillsagd att det är på det sättet av någon annan person?
Albiki skrev:Jag såg att du skrev det i ditt första inlägg, men jag ser inte hur det kommer från E-L-ekvationen. Att integranden ej beror på har ingen direkt påverkan på de två derivatorna som ingår i E-L-ekvationen, som du ser. Har du själv kommit fram till "specialfallet" eller har du blivit tillsagd att det är på det sättet av någon annan person?
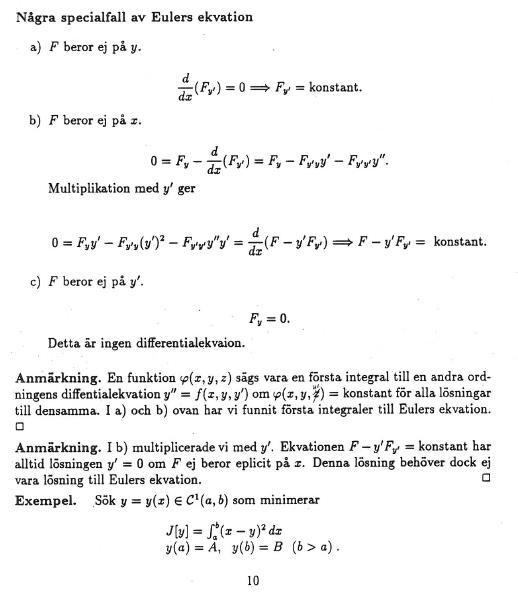
Jag har en pdf med okänt ursprung som används i kursen jag deltar i. Jag delar en snapshot där specialfallen tas upp, där villkor b är det jag hänvisar till.
Okej, så man får trixa litet för att få resultatet som du nämner. Men man måste ändå bearbeta resultatet för att få en diffekvation för funktionen , så jag fortsätter med mina beräkningar.
Notera att om så ger beräkningarna ekvationen , vilket visar att funktionen aldrig antar värdet noll; det går därför bra att dividera diffekvationen med denna funktion för att få följande.
Notera att och
Specialfallet är det som kallas för Beltramis identitet (Beltrami Identity).