Vart kommer a ifrån?
Hej, jag förstår inte riktigt var a kommer ifrån när de utvecklar Re delen. På något sätt har de tagit bort re(...) och fått en täljare på a som jag inte förstår.


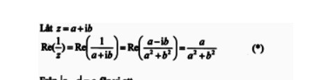
De antar att det komplexa talet z kan skrivas som a+b*i; a och b båda reella tal.
Sedan förlänger de bråket med (a-b*i) i både täljare och nämnare, för att göra nämnaren reell.
Om jag förläger med konjugatet får jag men hur kom de fram till att detta motsvarar ?
Hejsan266 skrev:Om jag förläger med konjugatet får jag men hur kom de fram till att detta motsvarar ?

Så nämnaren kommer endast att bestå av a eftersom det är ett reellt tal medan b är ett imaginärt tal?
jag menade täljaren
Hejsan266 skrev:Så nämnaren kommer endast att bestå av a eftersom det är ett reellt tal medan b är ett imaginärt tal?
Jfr med x+iy
Här är x = a/(a^2+b^2)