Vätebindning
Jag förstår inte riktigt varför ett fritt elektronpar behövs för att bilda en vätebindning? Och visst krävs om två molekyler ska binda till varandra med vätebindning att det i båda molekylerna finns en väteatom bunden til F, O eller N? Alltså uppstår ej vätebindning mellan exempelvis CH3Cl och H2O utan enbart en vanlig dipol-dipol bindning.
För att bilda en vätebindning, behövs ett par elektroner, som tillsammans kan skapa den nya vätebindningen mellan två atomer. En elektron räcker inte för att skapa en väte- eller en kovalent bindning utan två elektroner krävs.
Finns det ett fritt elektronpar, t.ex. hos en syreatom, kan dessa antingen sitta kvar på syreatomen eller skapa en vätebindning, förutsatt att det finns en lämplig molekyl att vätebinda till (t.ex. en alkohol, eller en vattenmolekyl). Skall en ny bindning bildas mellan två atomer, behöver elektroner från en av dessa atomer komma nära den andra atomen, och bilda den nya vätebindningen.
En atom kan inte försöka använda en enstaka av sina elektroner i ett elektronpar för att bilda en vätebindning, för det lämnar kvar en oparad "fri" elektron, vilket motsvarar en radikal. Radikaler är tok-reaktiva och kommer omedelbart att para ihop sig med en annan elektron, så att ett elektronpar återbildas.
Ja FON, är de atomer som kan delta i bildandet av vätebindningar.
(Relaterat till det exemplet du gav, med klor, så kan inte en typisk vätebindning bildas, men en liknande bindningstyp, en halogenbindning, kan under vissa omständigheter bildas. Men det ligger utanför gymnasiekemin).
mag1 skrev:
Det var punkt 2 här som fick mig att tolka det som att väte bundet till F, O el. N endast krävs i den ena molekylen och sen räcker det att det finns en elektronegativ atom med ett fritt elektronpar i den andra molekylen, t.ex Cl beroende på vad det är bundet med. Men alltså behöver det finns ett väte bundet till F. O el. N i båda molekylerna?
Funderar också på punkt tre i bilden, det är en intermolekylär bindning men den elektronegativa atomen drar till sig elektroner från vätet? Då blir det ju ej någon partiell laddning som attraherar utan en fullständig elektronövergång som i en jonbindning? Ursäktar om det är flummigt skrivet, förstår resterande bindningar bra men vätebindningen tycker jag är klurig.
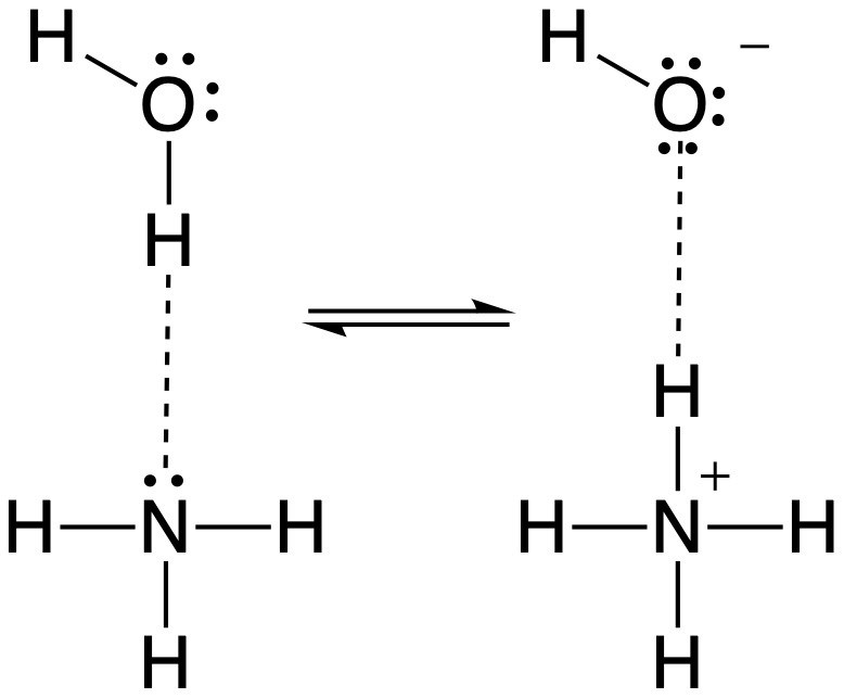
Nej vätet i vätebindningen kan inte vara kovalent bundet till båda molekylerna (väte kan inte delta i sådana bindningar, det skulle motsvara för många elektroner kring vätekärnan, 4 st).
Utöver en kovalent bindning till vätekärnan, kan den genom vätebindningen binda ytterligare en elektronegativ atom. Vätekärnan kan på så vis vara kovalent bunden till en atom (t.ex. O), och samtidigt vätebinda till en annan atom (N).
Dessa bindningar kan ändra karaktär, så att den kovalenta bindningen till O övergår i en vätebindning (mellan H och O), samtidigt som en ny kovalent bindning bildas mellan vätet och N. Och på precis samma vis kan bindningarnas karaktär ändras tillbaka igen (det är det som menas i bilden med att "pysa iväg"). Övergångar av en proton mellan två elektronegativa atomerna sker snabbt och enkelt, och protonens kan beskrivas som att den befinner sig mellan båda de elektronegativa atomerna, där den binder till varsin atom med omväxlande väte- och kovalent bindning.

Att protonens kovalenta bindning flyttar fram och tillbaka så snabbt, gör att de elektronegativa atomerna hålls ihop, lite likt med ett gummiband där protonen sitter fast i mitten, men dras ömsom till åt ena hållet och ömsom åt andra.
Men eftersom vätebindningen så enkelt bildas/bryts, och molekylerna hela tiden rör sig, så kommer inte samma två elektronegativa atomer att binda till varandra hela tiden - men de söker efter och hittar hela tiden nya atomer att vätebinda till.