1 svar
158 visningar
Ellalisa behöver inte mer hjälp
Ellalisa 160 – Avstängd
Postad: 29 nov 2019 19:43 Redigerad: 29 nov 2019 19:43

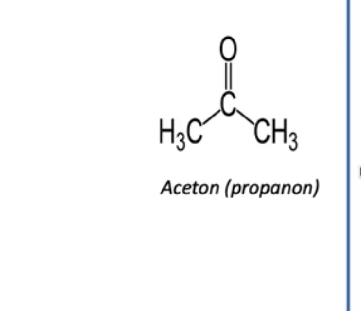
Vätebindningar

Aceton har en syreatom med fria elektroner. Det är klart och tydligt att aceton inte kan bilda vätebindningar 

Min fråga är hur kan syremolekylen ingå i en vätebindning även fast den inte är bunden till en OH,NH eller FH grupp? 

Smaragdalena 78892 – Avstängd
Postad: 29 nov 2019 20:30

Aceton kan inte vara donator i en vätebindning, eftersom den inte har några väteatomer som är bundna till F, O eller N. Däremot kan det dubbelbundna syret i acetonmolekylen fungera som acceptor i en dubbelbindnig, eftersom det finns fria elektronpar på syret.

Svara
Close