Vätsketryck

Jag vet inte hur jag ska gå till väga för att lösa uppgiften. Det jag har testat är att försöka ställa upp något samband mellan vätsketryck-formeln (p=pgh), tryck (p=F/A) osv, men kommer ingen vart. Kan jag få någon vägledning genom uppgiften?
Det vore bra om du kunde visa hur du har försökt, så att vi inte behöverbörja från 0. Meningen med Pluggakuten är att du skall få den hjälp du behöver för att kunna lösa dina uppgifter själv, inte att någon annan skall servera dig färdiga lösningar på dina problem.
Hur tjockt blir lagret med olivolja i den vänstra skänkeln?
Hur stort är trycket på vattenytan i den vänstra skänkeln?
Hur stort är trycket på vattenytan i den högra skänkeln?
Vattnets volym ändras inte av att man häller på olivolja.
Ok.
1. 1 dm
2. P=101,3k Pa
3. Lika stort som det vänstra kärlet hos de högra kommunicerande kärlen. P=pgh, P=F/A=mg/A=pVg/A. Jag vet inte hur jag ska få fram en siffra/tal på trycket i det kärlet.
4. P=pgh, p=F/A, p*A=F=pVg, p*A/p*g=V, p/p*g=V/A=h1. (höjden i vänstra kommunicerade rören) Jag vet att vattnets volym inte ändras, bara dess höjd. Samma volym, medför att, p=F/A=mg/A=pVg/A... h1 ändrar ju på sig. p=pgh. Hur kan jag ta reda på trycket i den?
2. Nej, då har du inte tagit hänsyn till att det ligger 1 dm olja på vattenytan. Trycket på oljeytan är så stort som du skrev, men jag frågade efter trycket på vattenytan.
Trycket på botten i den stora behållaren måste vara detsamma (men inte samma som innan man hällde på oljan. Vattenytan i den vänstra skänkeln måste åka ner när man häller på oljan (eftersom oljan är tyngre än luft). Samtidigt åker vattenytan upp i den högra skänkeln. Om vattenytan sjunker med 1 cm i den vänstra skänkeln, hur mycket höjs den då i den högra?
2. Jag trodde att du talade om de kommunicerade kärlen åt vänster. Eftersom det är luft som vi talar om blir trycket ovanpå det första ämnet, (vid jordytan) 101,3k Pa. På vänstra vattenytan hos de kommunicerade kärlen åt höger så är trycket det tryck som lufttrycket alstrar adderat med det tryck som 1dm olivolja alstrar. Alltså, p(tot)= p(luft)+p(olja) =101,3k Pa + 1000*10*0,1 = 102,3k Pa.
Om den sänks med 0,01m i det vänstra kärlet med en area på 0,1^[2]=0,01 m^2 så måste den öka med en mindre höjd i höger kärl då arean är större. Arean i det högra kärlet är 0,2*0,2=0,04 m^2.
0,01*0,01=0,0001 m^3, 0,0001=0,04*h -> h= 0,0001/0,04= 1/4 cm.
OK, jag var nog lite otydlig.
Trycket i hela bottenarean i den vänstra bilden är samma, eller hur? Dels trycket från d (som i djup) centimeter vatten, dels lufttrycket.
Trycket i hela bottenarean vr också samma, man högre, eller hur? Under vänsterskänkeln blir det lufttrycket + trycket från oljan + trycket från d-x cm vatten och under högerskänkeln blir det lufttrycket + d+x/4 cm vatten.
Tack.
Sedan får du fundera ut vad h i uppgiften är jämfört med det x du har beräknat.
Jag får fel svar. Höjd från Px+(1dm)-(px/4) blir fel svar.
Visa steg för steg hur du har räknatså kan vi hjälpa dig att hitta var det har gått fel.
Trycket i hela bottenarean vr också samma, man högre, eller hur? Under vänsterskänkeln blir det lufttrycket + trycket från oljan + trycket från d-x cm vatten och under högerskänkeln blir det lufttrycket + d+x/4 cm vatten.
Du har räknat med trycket från d+x cm vatten i vänsterskänkeln och inte som jag skrev.
Jag hänger inte med i dina beteckningar. Vad är det du räknar ut, är det det som jag kallade x? Eller det som boken kallar h? Eller något annat?
Vad säger facit?
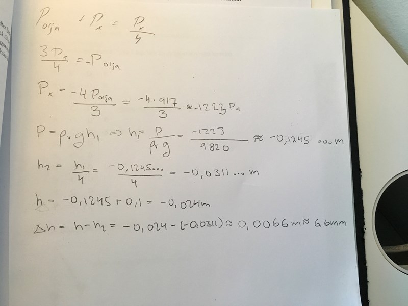
Smaragdalena, facit säger 8,3mm för att vara exakt. Men godkänner svar mellan 8-9mm. Jag försöker att beräkna höjdskillnaden. Jag beräknade delvis det som du kallar x delvis det som boken kallar h.
Jag försökte räkna ut hur mycket vardera kärl med vatten har förflyttat sig efter man hällde i 1 L olivolja i vänstra kärlet. När jag vet förflyttningen för båda kan jag ta reda på höjdskillnaden eftersom jag kan ta reda på vilken höjd olivolja kommer att uppta då även area för vänstra kärlet är känt. Mitt svar blev fel.
JAG LÖSTE DEN!! 🎉🎉🎉🎉
Härligt! Gjorde du något särskilt som fick det att fungera den här gången?

