Vatten rinner ut ur en behållare
Har rört till det/inte förstått. Jag vet inte, försöker se mina fel men är osäker. Så vad är det jag ska göra annorlunda?

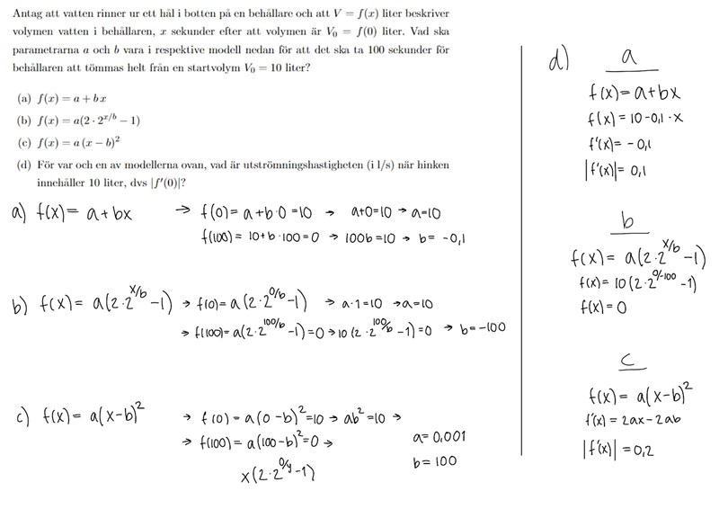
Vad är uppgiften i d)?
Är det att derivera de funktionenrna du fått fram? (jag vet inte vad absolutbeloppet kommer från)
d)
a: Deriveringen rätt ut, f'(x)=0,1 för alla x
b: Ser ingen derivering. Vad är uppgiften?
c: Deriveringen rätt ut, f'(0)=-2ab=-0,2, ser rätt ut
Förlåt missade visst att ta med det i bilden, men det är där nu!
Har du kommit någon vart med deriveringen av f(x) i fall b?
Det beskrivs här: https://www.matteboken.se/lektioner/matte-3/derivata/exponentialfunktioner

Är osäker på hur jag gör med parentesen men eller?
På rätt spår men 2 fel.
Om du utvecklar parentesen först så ser du att "-1" i parentesen blir -a och derivatan av en konstant är 0 så den försvinner.
Om du tittar på formeln i #4:
motsvarar i ditt fall a=2, k=1/b
Det är det enklaste sättet, identifiera delarna och derivera sen mha formeln (efter att du utvecklat parentesen i f(x)).